Öncelikle merhaba, birkaç aydır yoğun olarak olmasa da boş zamanlarımda yapay zeka ile ilgili videolar izliyor, farklı kaynaklardan yeni şeyler öğrenmeye çalışıyorum ama internette çok bilgi kirliliği var. Şuana kadar geriye baktığımda öğrendiğim şeyleri tam olarak kavrayamadığımı fark ettim. Bu konularda araştırma yapmış kişiler varsa bana (İngilizce - Türkçe fark etmez) python üzerinden GERÇEKTEN AKICI ve GÜZEL bir şekilde anlatılmış machine learning, deep learning, image processing kaynakları önerebilir misiniz ?
Şu kaynakları yer imlerine eklemiştim. Belki işinize yarar.
İngilizce önerebileceğiniz kaynaklar var mı?
Bir tane önerebilirim.
Python üzerinden şu ikisi olabilir:
=
“Hands-On Machine Learning with Scikit-Learn and TensorFlow: Concepts, Tools, and Techniques to Build Intelligent Systems”
İlk kısım ML, ikinci kısım DL. İkinci kısımdan haberim yok ama ilk kısımda gayet güzel bir şekilde scikit-learn üzerinden bir sürü ML modeliyle anlatım yapılıyor. Baya iyi.
=
Burası müthiş bir referans, python’a da direkt hitap ediyor. Buradaki her maddenin üzerinden birkaç kere geçmek gerektiğini düşünüyorum.
Bunlardan başka, hem bir-iki adım geri gitmek hem de python-bağımsız kaynaklardan da bahsetmek adına şunları yazayım belki işine yarayan olur:
Matematik için şu ikisi:
=
Linear Algebra and Its Applications, Gilbert Strang
<Chapter 1, 2, 3 ve 5>
=
Probability, Random Variables and Stochastic Processes, Papoulis.
<Chapter 3, 4, 5, 6 ve 7>
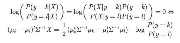
Mesela şöylesi bir formülasyonda neler döndüğünü anlamak için yukarıdakiler önemli:
[1]Bu formülasyonu anlamak da, LDA’nın kodunu yazdığınızda, muhtemel bir istenmeyen durumu debug ederken program üzerinde kontrolünüzün olmasını sağlar. Yani, “ne yaparsam daha iyi bir performans elde ederim” sorusuna yanıtınız rastgele denemeler olmaktan çıkar, önceden kestirilebilir hale gelir.
=
https://www.youtube.com/playlist?list=PLLssT5z_DsK-h9vYZkQkYNWcItqhlRJLN
Andrew Ng’nin, ML’in matematiğini, algoritmalarını anlattığı 100’ün üzerinde videosu.
=
Bunun hem notları iyi hem de 2017’deki dersleri youtube’a yüklemişler. Python üzerinden assignment’lar.
=
http://www.deeplearningbook.org/contents/ml.html
Kitabın kendisi de zaten birkaç kere okunmaya değer.
=
R. O. Duda, P. E. Hart, D. G. Stork, Pattern Classification,
<Chapter 1, 2 ve 3>
İşin özüne dair bir kaynak.
=
https://www.di.ens.fr/~mallat/papiers/svmtutorial.pdf
https://www.stat.berkeley.edu/~breiman/randomforest2001.pdf
XGBoost Documentation — xgboost 3.2.0-dev documentation
SVM, Random Forest ve XGBoost üzerine. Bunlar önem arz ediyor çünkü neural network’lerin yerine birçok yerde tercih edilebiliyorlar. Hatta XGBoost, Kaggle’daki birçok yarışmada artık dominant model haline gelmiş durumda. [2]
=
Güzel slaytlar var, bakmaya değer.
=
https://medium.com/machine-learning-for-humans/supervised-learning-740383a2feab
Burada (ve devamında) bazı konulara sezgisel yaklaşımlar sunuluyor o açıdan iyi.
[1] 1.2. Linear and Quadratic Discriminant Analysis — scikit-learn 1.8.0 documentation
[2] XGBoost | Kaggle
